





















山东2025高考一分一段表660分以上1965人,630分以上13205。
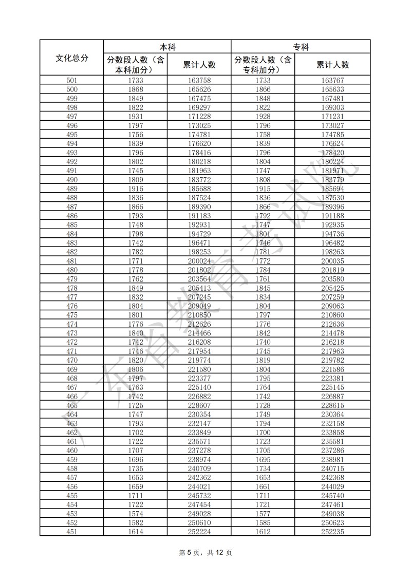
2025年天津市普通本科录取控制分数线为476分,本科线上47173人。620人以上8532人。
广东2025高考物理类类一分一段表600人以上26988人,650分以上3792人。
广东2025高考历史类600分以上的5259人。
天津600分以上12596人