热门搜索:
湖南大学
河南大学
郑州大学
北京邮电大学
首页
高考志愿
志愿填报指南
一分一段表
历年分数线
各省本科分数
专业分数线
预科分数
军校分数线
国家专项
地方专项
高校专项
艺术类分数
体育类分数线
招生政策
公费师范
定向军士
招生计划
高考题库
高考提分
高考作文
专科分数
单招分数
专科分数
考研
当前位置:
首页
>
高考志愿填报
> 正文
2025多少分能考上河北旅游职业学院?
陈子阳老师
2025-08-28 03:31:08
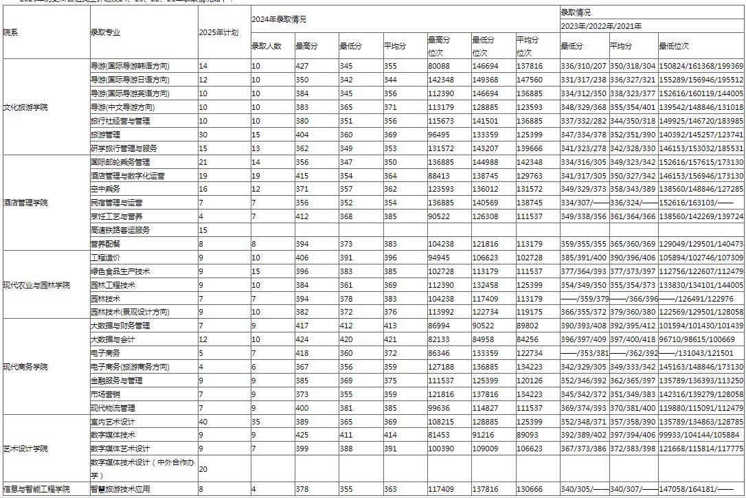
河北旅游职业学院历史类往年分数线稍低的专业有:数字媒体技术专业最低分319,最高分384,最低分录取位次137450。大数据与财务管理专业最低分412,最高分427,最低分录取位次80552。智慧旅游技术应用专业最低分355,最高分378,最低分录取位次137816。
1、河北旅游职业学院2023-2024历年录取最低分和人数
2、河北旅游职业学院2023-2024历年高考专业最低分和录取人数、位次排名
推荐阅读
39所985高校那些是工科强校?一文分析为上985报强基值不值
2026-04-14 07:58:15
保专业还是保院校?张雪峰2026报志愿的6个建议
2026-04-04 22:03:19
2026陕西多少分能上西安电子科技大学中外合作办学?预计600分左右
2026-03-30 10:51:34
2026陕西多少分能上西安电子科技大学?2026普通批物理类620分以上
2026-03-30 08:31:40
2025年中国民航飞行学院本科提前批飞行技术分数线:四川最低549分
2026-03-26 14:21:27
热门推荐
世界双一流建设高校名单(42所及王牌专业名单)
2025年大连外国语大学艺术类各省分数线(2024-2025历年)
2025中国地质大学(北京)在河北高校专项分数线和位次(含2023-2025历年)
中南大学有哪些中外合作办学专业?学费多少钱
2025年高考暨南大学艺术类各省分数线和人数(文化和术科成绩)
关于我们
-
联系我们
| 版权所有 © 高考数据网
湘ICP备2021006809号-3
| 增值电信业务经营许可证:湘B2-20240215
本站数据均来自高校官网及各省教育考试院,仅供参考。如有侵权、版权异议或数据纠错,请联系我们处理。